保温增效 赢胜橡塑拯救“结露”空调
俗语云:“小暑过,一日热三分。”
这不,近日江苏的天气呈明显的高温高湿特性。
任性的梅姑娘,时不时还要来场雷阵雨。
这可累坏了我们的夏日凉友——空调!
降温、除湿都离不开它,
朋友圈都在嚷嚷着“命是空调给的”,

可空调也有累得“滴汗”的时候啊!
空调系统在运行中经常结露,导致风管及吊架出现结露、风口滴水、天花滴水、墙面渗水发霉、墙面涂料脱落等现象,虽然不会造成太大的事故,但已经影响到了观感和使用功能,给用户使用和物业管理带来诸多不便,并造成了一定的经济损失,因此室内空调系统结露滴水问题不容小觑。


然而空调系统结露原因较为复杂,除新排风系统设置不合理、屋面保温层效果不佳、安装不牢固等原因外,空调橡塑保温材料性能和厚度不符合要求,保温层的保温效果就会下降甚至失效,结露问题不可避免地就产生了。
因此,在空调系统工程中保温是非常关键的环节,保温效果的好坏会直接影响空调冷量的损耗和室内空调效果,会促使空调的运行费用增加,更为严重的是保温层导热系数超标、厚度不足或保温层脱落都会引起结露现象。
空调系统如何彻底解决结露现象,与正确选择橡塑保温材料的保温性能、保温厚度有极大的关系。
赢胜橡塑绝热保温材料,是完全闭泡结构,具有柔软、耐曲绕、耐热、耐寒、防水、阻燃、减振、隔音、导热系数低等优良性能;并通过中国CQC认证、美国FM认证、英国BS认证等国际防火认证,卓越的产品性能通过了美国FM认证、美国GREENGUARD绿色认证、英国BS认证、韩国KS认证、中国CQC认证、欧盟CE认证及澳标防火认证等国内外100多项体系认证,安全性能全球认可。

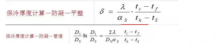
赢胜节能作为高端保温材料领导者,依托国家标准,针对不同场所不同环境不同气候,采用新型保温厚度计算方法给客户提供专业的技术支持和贴心的服务保障,常用保温厚度计算公式如下:

您也可进入赢胜官网/install/modelling进行选型计算。
如特殊场所使用或有特殊要求,亦可联系赢胜,赢胜均能够提供专业的解决方案。
环保节能,保温增效。赢胜,一直都在!